ZELENÉ CESTY - MÁJ 2021
CHLOROFYL ČASŤ DRUHÁ ALEBO ZELENÝ SLON (NIELEN) V KUCHYNI
V minulom diele nášho rozprávania sme si objasnili, čo to vlastne chlorofyl je a aké sú jeho primárne „planetárne“ služby. Dnes si povieme, čo chlorofyl robí pre nás – pre človeka. Ale pretože skutočne ide o látku, bez ktorej by náš svet vyzeral úplne inak (ak vôbec nejako), poďme si o ňom v krátkosti pripomenúť základné informácie.

Chlorofyly sú zelené pigmenty lokalizované v bunkách fotosyntetizujúcich rias, niektorých baktérií a v membránach tylakoidov vyšších rastlín. Patria medzi najzjavnejšie a hojné pigmenty v prírode vôbec (nakoniec všeobecnú predstavu prírody si ľudia spájajú práve so zelenou farbou). Doslova sa dá povedať, že ide o Zeleného slona – v prírode je jednak prakticky všadeprítomný a súčasne plní základné „silné“ ekosystémové funkcie.
Chlorofyly ako dobre definovaná skupina cyklotetrapyrolov zohrávajú tri nasledujúce roly spojené s procesom fotosyntézy: 1. využívajú slnečnú energiu, 2. konvertujú oxid uhličitý do zložitejších štruktúr sacharidov a tak po 3. poskytujú výživovú základňu pre ostatné organizmy, respektíve pre globálny ekosystém. Plnia tak esenciálnu enviromentálnu trojrolu solárnej elektrárne, dýchacieho ústrojenstva a potravinovej banky planéty zároveň. Viac v Zelených cestách 4/2021.

CHLOROFYL V SLUŽBÁCH ČLOVEKA
Pri úvahách o úlohe chlorofylu v humánnej výžive, liečiteľstve či v medicíne je potrebné brať do úvahy historické obdobie, ktorého očami tému hodnotíme. Inak sa asi na tento zelený pigment určite pozerala babka korenárka, ktorá ho v najrôznejších mastiach, zelinkách a „extraktoch“ nevedome používala, a iný postoj k téme má striktný dátový výskumník dnešných dní.
Inými slovami – téma liečebného použitia rastlinných látok všeobecne prechádza svojím vývojom a ten závisí nielen od množstva dostupných tvrdých údajov a praktických skúseností, ale aj od „mäkších“ faktorov, ako sú módne a obchodné trendy daných čias. Realitou dneška v každom prípade je, že používanie látok rastlinného pôvodu vo farmaceutickom, kozmetickom a potravinárskom priemysle sa za poslednú dekádu zmnohonásobilo. Niektorí autori dokonca obdobie po roku 1990 označujú ako „Zelenú horúčku“ či „Zelené Eldorádo“ (Green rush, Green Eldorado).1

Chlorofyl sám je v hľadáčiku vedcov však oveľa dlhšie. Prvé publikované zmienky o úžitku chlorofylu a jeho aplikácie pre humánnu medicínu možno nájsť v 19. storočí2, kedy sa liečebné použitie preparátov z chlorofylu (prípadne s chlorofylom) referovalo pre širokú škálu chorôb a neduhov3,4. Vzhľadom na následne rozpoznanú podobnosť porfyrínového jadra chlorofylu a hemoglobínového hemu bol chlorofyl (prípadne syntetické analógie, chlorofylín atď.) napríklad uvažovaný ako možný pomocný prostriedok v liečbe anémie. Zatiaľ čo predstava chlorofylu ako účinného prostriedku proti málokrvnosti bola nakoniec vyvrátená5, rôzne terapeutické použitie chlorofylu ostalo v klinickej praxi naďalej – od podpory a stimulácie regenerácie tkanív, cez dezodoráciu zápachov spôsobených infekčnými procesmi až po všeobecné protizápalové pôsobenie.6 Prípravky s obsahom chlorofylu sa tiež napríklad používajú v Japonsku u geriatrických pacientov a pri liečbe trimetylaminúrie7,8.
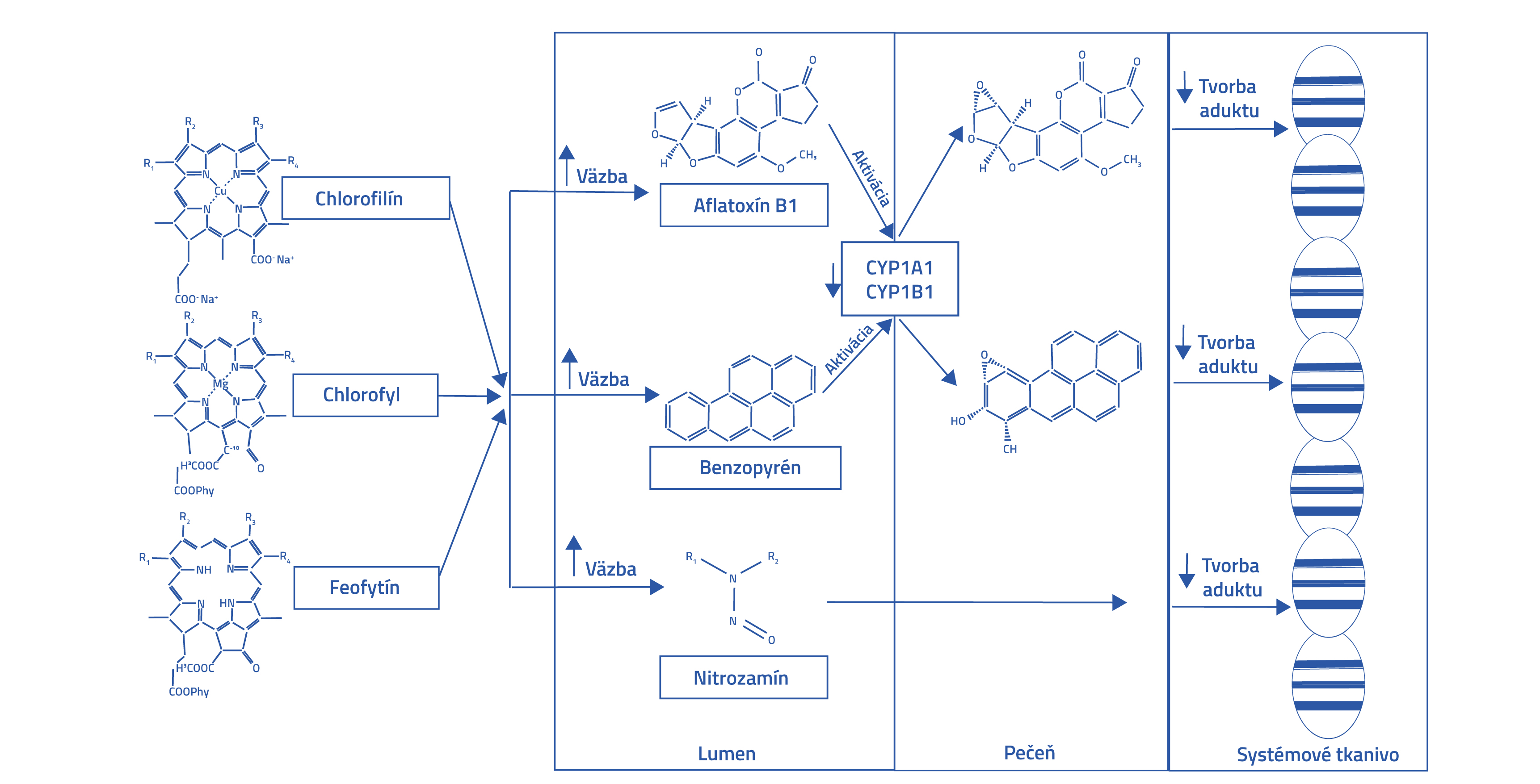
Najnovšie poznatky vedú výskumníkov k otázke preventívneho pôsobenia vysokých dávok ovocia a zeleniny (predovšetkým listovej zeleniny zo skupiny tzv. greens) vo vzťahu k civilizačným ochoreniam9. Mechanizmy chemoprotektívneho a chemopreventívneho pôsobenia rozličných fytolátok sú predmetom rozsiahleho výskumu, pričom chlorofyl a jeho deriváty patria oprávnene medzi tie hojne študované. U chlorofylu samého sú potom potvrdené princípy modulácie bio-dostupnosti xenobiotík a ich preabsorpcia (tzv. trapping effect), postabsorpcia10 alebo zníženie oxidačného stresu.11, 12

Odchytávací (trapping) efekt chlorofylu a jeho derivátov voči xenobiotikám (tu aflatoxín B1, benzoapyrén, nitrozamíny). Chlorofyl je funkčný ako v pre-, tak post-absporpčnej fáze. V preabsorpčnej fáze znižuje celkovú biodostupnosť xenobiotika, v postabsorpčnej fáze znižuje následnú mutagenitu prostredníctvom enzýmovo riadenej deregulácie väzby na DNA (prevzaté podľa Hayes and Ferruzzi, 2020).
Na záver možno konštatovať, že množstvo výskumných prác dnes preukazuje, že chlorofyl patrí medzi fytonutrienty, ktoré majú svoj význam nielen v detoxikácii a chemoprevencii organizmu. Rastúca znalostná odborná báza tak potvrdzuje skúsenosť nejednej babky zelinkárky. Pozvite si teda tohto zeleného slona do kuchyne aj vy. Dnes už viete, ako silný je a prečo...
Ďalší diel tejto chlorofylovej minisérie sa bude zaoberať tým, kde a v akých potravinách sa vyskytuje a v akej miere. A ak by ste si náhodou neboli istí, potom v zelených potravinách GW ho nájdete určite.

1 David B, Wolfender JL, Dias DA. The pharmaceutical industry and natural products: historical status and new trends. Phytochemistry Reviews. 2015; 14:299–315.
2 Tu je zaujímavé, že jednu z prvých úvah o zelenom farbive a jeho osude v prírode nájdeme v práci „zakladateľa genetiky“ rodáka z Hynčíc u Brna J. G. Mendela z roku 1865.
3 Harrisson JW, Levin SE, Trabin B. The Safety and fate of potassium sodium copper chlorophyllin and other copper compounds. Journal of the American Pharmaceutical Association (Scientific Ed). 1954; 43:722–37.
4 Esten MM, Dannin AG. Chlorophyll therapy and its relation to pathogenic bacteria. Butler University Botanical Studies. 1950; 9:212–7.
5 Súčasne však platí všeobecný predpoklad, že telo musí pre biosyntézu svojich vlastných funkčných makromolekúl mať k dispozícii vhodný stavebný materiál.
6 Hayes M, Ferruzi MG. 2020. Update on the bioavailability and chemopreventative mechanisms of dietary chlorophyll derivatives. Nutrition research. 81: 19–37.
7 Chao PY, Huang MY, Huang WD, Lin KH, Chen SY, Yang CM. Study of chlorophyll-related compounds from dietary spinach in human blood. Notulae Botanicae Horti Agrobotanici Cluj-Napoca. 2018; 46:309–16.
8 Yamazaki H, Fujieda M, Togashi M, Saito T, Preti G, Cashman JR, et al. Effects of the dietary supplements, activated charcoal and copper chlorophyllin, on urinary excretion of trimethylamine in Japanese trimethylaminuria patients. Life Sciences. 2004; 74:2739–47.
9 Aune D, Giovannucci E, Boffetta P, Fadnes LT, Keum NN, Norat T, et al. Fruit and vegetable intake and the risk of cardiovascular disease, total cancer and all-cause mortality – a systematic review and dose-response meta-analysis of prospective studies. International Journal of Epidemiology. 2017; 46:1029–56.
10 Hsu C-Y, Yeh T-H, Huang M-Y, Hu S-P, Chao P-Y, Yang C-M. Organ-specific distribution of chlorophyll-related compounds from dietary spinach in rabbits. Indian Journal of Biochemistry & Biophysics. 2014; 51:388–95.
11 John K., Divi R. L., Keshava C, Orozco CC, Schockley ME, Richardson DL, et al. CYP1A1 and CYP1B1 gene expression and DNA adduct formation in normal human mammary epithelial cells exposed to benzo[a]pyrene in the absence or presence of chlorophyllin. Cancer Letters. 2010; 292:254–60.
12 Vaňková K, Marková I, Jašprová J, Dvořák A, Subhanová I, Zelenka J, et al. Chlorophyll-mediated changes in the redox status of pancreatic cancer cells are associated with its anticancer effects. Oxidative Medicine and Cellular Longevity; 2018:1–11.